Pseudocode For Calculating Triangle Area

Hamptonroadscares 27 views
Pseudocode For Calculating Triangle Area

Pseudocode for Calculating Triangle Area

Hey guys, let’s dive into the world of pseudocode and figure out how to calculate the area of a triangle. You know, that fundamental shape we all learned about in school? Calculating its area is a super common task in programming, and understanding how to represent that process in pseudocode is a crucial first step before you even start writing actual code. We’ll break it down step-by-step, making sure it’s easy to follow, even if you’re just starting out. So, grab a virtual coffee, and let’s get this done!

Understanding the Basics: What is Pseudocode?

Before we get our hands dirty with triangle area calculations, let’s quickly chat about what pseudocode actually is. Think of it as a way to plan out your code without getting bogged down in the specific syntax of a particular programming language, like Python, Java, or C++. It’s like writing a recipe in plain English (or whatever language you’re comfortable with) that clearly outlines the steps a computer needs to follow to achieve a goal. Pseudocode is incredibly valuable because it bridges the gap between human thought and computer instruction. It allows us to focus on the logic and the algorithm – the actual problem-solving steps – before we worry about semicolons, brackets, or variable declarations. This means you can brainstorm and refine your solution without being limited by the strict rules of a programming language. For beginners, it’s a fantastic way to build confidence and a solid understanding of programming concepts. For experienced developers, it’s a quick way to sketch out complex ideas and communicate them to team members. When we talk about calculating the area of a triangle, we’ll be using pseudocode to define the inputs needed, the process to follow, and the output we expect. It’s like creating a blueprint for our little program. So, in essence, pseudocode is a high-level, informal description of an algorithm. It uses conventions that resemble programming languages but is designed for human readability. You’ll see keywords like INPUT , OUTPUT , IF , THEN , ELSE , WHILE , DO , ENDIF , ENDWHILE , SET , DISPLAY , and so on. These keywords help structure our thoughts and make the steps clear and unambiguous, even without a compiler to tell us we’ve made a mistake. It’s all about making the logic crystal clear, guys!

The Formula for Triangle Area: A Quick Recap

Alright, before we jump into writing pseudocode, let’s refresh our memories on the classic formula for calculating the area of a triangle. This is the mathematical foundation upon which our pseudocode will be built. The most common formula, and the one we’ll be using, is: Area = 0.5 * base * height . Pretty straightforward, right? Here, ‘base’ refers to the length of one side of the triangle, and ‘height’ refers to the perpendicular distance from that base to the opposite vertex. It’s crucial to remember that the height must be perpendicular to the base. If you’re given different information, like the lengths of all three sides, you might need to use a different formula (like Heron’s formula), but for this pseudocode exercise, we’re sticking to the base and height method. Why this formula? Because it’s simple, widely applicable, and easy to translate into computational steps. When we think about programming, we need clear, defined inputs and a clear process. This formula gives us exactly that. We need two pieces of information: the length of the base and the length of the height. Once we have those, the calculation is a simple multiplication and division (or multiplication by 0.5). This simplicity makes it an ideal candidate for a beginner’s pseudocode example. So, keep this formula in mind: 0.5 * base * height . We’ll be referring back to it as we design our pseudocode steps. Understanding this formula isn’t just about math; it’s about understanding the relationship between the inputs (base and height) and the desired output (the area). This relationship is the core of any algorithm we’ll ever write. So, let’s make sure this formula is etched into our brains, because it’s going to be the heart of our pseudocode.

Step-by-Step Pseudocode for Triangle Area Calculation

Now for the main event, guys! Let’s construct the pseudocode for calculating the area of a triangle. We’ll break it down into logical steps, making it super clear how a program would go about this. Remember, pseudocode is about outlining the logic , so we’ll use simple, readable language and common pseudocode keywords.

Step 1: Start the Algorithm Every pseudocode program needs a starting point. We usually signify this with a keyword like START or BEGIN .

START

Step 2: Declare Variables Before we can store any values, we need to tell the program what kind of information we’ll be working with. For calculating the triangle’s area using base and height, we’ll need variables to hold the base , the height , and the calculated area . These are typically numerical values (integers or decimals).

DECLARE base AS NUMBER
DECLARE height AS NUMBER
DECLARE area AS NUMBER

Step 3: Get Input from the User Our program needs the base and height values to perform the calculation. We’ll prompt the user to enter these values and then store them in our declared variables. Keywords like INPUT or READ are common here.

DISPLAY "Enter the length of the base:"
INPUT base
DISPLAY "Enter the height of the triangle:"
INPUT height

Step 4: Perform the Calculation This is where the magic happens! We’ll use the formula we discussed earlier (Area = 0.5 * base * height) and assign the result to our area variable. The SET or assignment operator ( = ) is typically used for this.

SET area = 0.5 * base * height

Step 5: Display the Output Finally, we want to show the user the result of our calculation. We’ll display the calculated area back to them.

DISPLAY "The area of the triangle is: " + area

Step 6: End the Algorithm Every pseudocode program needs an end point. We use keywords like END or STOP .

END

Putting It All Together

Let’s combine these steps into a complete pseudocode block. This represents the entire process from start to finish.

START
  DECLARE base AS NUMBER
  DECLARE height AS NUMBER
  DECLARE area AS NUMBER

  DISPLAY "Enter the length of the base:"
  INPUT base
  DISPLAY "Enter the height of the triangle:"
  INPUT height

  SET area = 0.5 * base * height

  DISPLAY "The area of the triangle is: " + area
END

This pseudocode is clear, concise, and logically structured . It outlines exactly what needs to happen for a computer to calculate the area of a triangle. It’s the perfect foundation for writing actual code in any programming language you choose. Pretty neat, huh, guys?

Variations and Considerations for Triangle Area Pseudocode

So, we’ve nailed down the basic pseudocode for calculating a triangle’s area using its base and height. But, like with most things in programming, there are often variations and specific things to consider to make our pseudocode even more robust and user-friendly. Let’s dive into some of these, shall we? First off, what if the user enters invalid input? For instance, what if someone types in a negative number for the base or height? Mathematically, a length can’t be negative, so our current pseudocode would produce a nonsensical result. To handle this, we can introduce input validation . This means adding checks before we perform the calculation to ensure the numbers entered are valid. We could use IF statements for this. For example, we might check if base is less than or equal to 0, or if height is less than or equal to 0. If either is true, we can display an error message and perhaps ask the user to re-enter the values, or simply end the program gracefully.

Here’s how we might add some basic validation:

START
  DECLARE base AS NUMBER
  DECLARE height AS NUMBER
  DECLARE area AS NUMBER

  DISPLAY "Enter the length of the base:"
  INPUT base
  DISPLAY "Enter the height of the triangle:"
  INPUT height

  // Input Validation
  IF base <= 0 OR height <= 0 THEN
    DISPLAY "Error: Base and height must be positive numbers."
  ELSE
    // Perform Calculation only if inputs are valid
    SET area = 0.5 * base * height
    DISPLAY "The area of the triangle is: " + area
  ENDIF
END

See how we used the IF statement? This adds a layer of error handling , making our pseudocode much more practical. Another consideration is the data type. We declared our variables as NUMBER . In many programming languages, you might need to be more specific. Are we dealing with whole numbers (integers) or numbers with decimal points (floating-point numbers)? Since base and height can often be decimals, and the area calculation (multiplying by 0.5) can also result in a decimal, using a data type that supports decimals (like REAL or FLOAT in many languages, or just NUMBER which often implies this flexibility in pseudocode) is highly recommended . Our current NUMBER declaration usually covers this well in pseudocode, but it’s something to be aware of when translating to actual code.

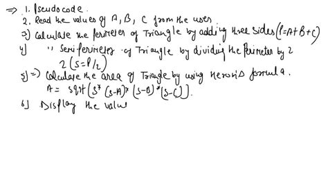
Furthermore, let’s think about alternative formulas. While base and height are the most common, what if you’re given the lengths of the three sides (a, b, c)? In that case, you’d use Heron’s formula. It involves calculating the semi-perimeter (s = (a+b+c)/2) first, and then the area is the square root of s * (s-a) * (s-b) * (s-c) . Writing pseudocode for Heron’s formula would involve more steps, including calculating ’s’ and then using a SQRT function (which we’d assume is available).

// Pseudocode for Heron's formula (if sides a, b, c are given)
START
  DECLARE a AS NUMBER, b AS NUMBER, c AS NUMBER
  DECLARE s AS NUMBER // semi-perimeter
  DECLARE area AS NUMBER

  DISPLAY "Enter side a:"
  INPUT a
  DISPLAY "Enter side b:"
  INPUT b
  DISPLAY "Enter side c:"
  INPUT c

  // Basic triangle inequality check (optional but good practice)
  IF a + b > c AND a + c > b AND b + c > a THEN
    SET s = (a + b + c) / 2
    SET area = SQRT(s * (s - a) * (s - b) * (s - c))
    DISPLAY "The area of the triangle is: " + area
  ELSE
    DISPLAY "Error: The given sides do not form a valid triangle."
  ENDIF
END

This shows how pseudocode can adapt to different problem requirements. Finally, clarity and comments are key. Even in simple pseudocode, adding comments (lines starting with // or similar) can explain why you’re doing something, making it easier for others (or your future self!) to understand. So, while our initial pseudocode is great, incorporating validation and considering alternative scenarios makes it even more powerful, guys!

Translating Pseudocode to Real Code

So you’ve got this awesome pseudocode ready to go, outlining exactly how to calculate the area of a triangle. That’s fantastic! But what happens next? The next logical step is to translate this pseudocode into an actual, runnable program using a programming language. This is where your pseudocode really proves its worth. Because pseudocode focuses on the logic and not the syntax, you can take your carefully crafted steps and implement them in Python, JavaScript, Java, C++, or virtually any other language. Let’s take our basic triangle area pseudocode and see how it might look in a couple of popular languages.

Example in Python

Python is known for its readability, so the translation is often very direct. We’ll replace DISPLAY with print() , INPUT with input() , and SET with the assignment operator = . We also need to convert the input from a string (which input() returns) to a number (like a float).

# Pseudocode: START

# Pseudocode: DECLARE base AS NUMBER, height AS NUMBER, area AS NUMBER
# In Python, variables are created when first assigned.

# Pseudocode: DISPLAY "Enter the length of the base:"
print("Enter the length of the base:")

# Pseudocode: INPUT base
# Convert input to a floating-point number
base = float(input())

# Pseudocode: DISPLAY "Enter the height of the triangle:"
print("Enter the height of the triangle:")

# Pseudocode: INPUT height
height = float(input())

# Pseudocode: SET area = 0.5 * base * height
area = 0.5 * base * height

# Pseudocode: DISPLAY "The area of the triangle is: " + area
# In Python, you can format strings nicely
print(f"The area of the triangle is: {area}")

# Pseudocode: END
# Python programs end when they reach the end of the script.

Notice how close the Python code is to our pseudocode! The structure and the logic are identical. The main differences are the specific functions used ( print , input ) and the need to handle data types explicitly (using float() ).

Example in JavaScript

JavaScript, commonly used for web development, has a similar translation process. We’ll use console.log() for displaying messages and prompt() for getting user input (though prompt() is often used in browser environments and might behave differently in Node.js).

// Pseudocode: START

// Pseudocode: DECLARE base AS NUMBER, height AS NUMBER, area AS NUMBER
// In JavaScript, you can declare variables with var, let, or const.
let base;
let height;
let area;

// Pseudocode: DISPLAY "Enter the length of the base:"
console.log("Enter the length of the base:");

// Pseudocode: INPUT base
// prompt() returns a string, so we parse it to a float
base = parseFloat(prompt("Enter the length of the base:"));

// Pseudocode: DISPLAY "Enter the height of the triangle:"
console.log("Enter the height of the triangle:");

// Pseudocode: INPUT height
height = parseFloat(prompt("Enter the height of the triangle:"));

// Pseudocode: SET area = 0.5 * base * height
area = 0.5 * base * height;

// Pseudocode: DISPLAY "The area of the triangle is: " + area
console.log("The area of the triangle is: " + area);

// Pseudocode: END
// JavaScript execution stops at the end of the script.

Again, the core logic mirrors the pseudocode. We use parseFloat() to convert the string input into a number that can be used in calculations. The use of let for variable declaration is standard in modern JavaScript. The power of pseudocode lies in this portability . Once you have the algorithm laid out clearly, you’re well on your way to implementing it in any language you need. It saves you from having to reinvent the wheel every time you switch languages. You’ve got the blueprint, and building the house in different materials (languages) becomes much easier!

Conclusion: Mastering Pseudocode for Programming Success

Alright guys, we’ve journeyed from understanding the fundamental concept of pseudocode to crafting step-by-step instructions for calculating the area of a triangle, exploring variations, and even seeing how to translate it into actual code. The key takeaway here is that pseudocode is your best friend when you’re learning to program or tackling a new problem. It’s the bridge between your ideas and the machine’s execution. By using pseudocode, you focus on the algorithmic thinking – the logical sequence of steps – without getting tripped up by the often-complex syntax of programming languages. We saw how a simple formula like the area of a triangle (0.5 * base * height) translates into clear, sequential commands: START, DECLARE variables, INPUT values, SET the calculation, DISPLAY the result, and END. We even enhanced it by considering input validation, making our pseudocode more robust and ready for real-world scenarios. Furthermore, seeing how this same pseudocode logic can be applied to different programming languages like Python and JavaScript highlights its universality and power. It allows for seamless transition from conceptualization to implementation.

So, whether you’re a complete beginner or an experienced developer, don’t skip the pseudocode step! It helps prevent errors, improves the clarity of your solutions, and makes collaboration easier. It’s a tool that empowers you to think critically about problems and design efficient solutions. Mastering pseudocode is a significant step towards becoming a proficient programmer. It builds a strong foundation for understanding more complex algorithms and data structures. Keep practicing, keep writing pseudocode for different problems, and you’ll find your programming journey becomes much smoother and more rewarding. Happy coding, everyone!