Constitutional Law: Your Free PDF Guide

Hamptonroadscares 114 views
Constitutional Law: Your Free PDF Guide

Constitutional Law: Your Free PDF Guide

Hey guys! Ever wondered what really makes a country tick? It’s often all about the Constitution! Think of it as the ultimate rulebook, laying down the fundamental principles, establishing the framework of government, and safeguarding the rights of citizens. In this article, we’re diving deep into constitutional law, and guess what? We’re even hooking you up with a free PDF guide! Let’s get started!

What is Constitutional Law?

Constitutional law, at its core, is the interpretation and application of a country’s constitution. It’s the bedrock upon which all other laws are built. It defines the powers and limitations of the government, ensuring that it operates within defined boundaries. This body of law also outlines the basic rights and freedoms of individuals, protecting them from governmental overreach. Constitutional law is not static ; it evolves over time through amendments, judicial review, and societal changes. Think of landmark Supreme Court cases that have reshaped our understanding of rights like freedom of speech, equal protection, and due process. These cases are the living, breathing evolution of constitutional law.

Delving deeper, constitutional law addresses several key areas. First, it establishes the structure of government, including the legislative, executive, and judicial branches, and defines their respective powers. Second, it allocates power between the federal government and state governments in systems like federalism. Third, it guarantees individual rights and liberties, such as freedom of speech, religion, and assembly. These rights are often enshrined in a Bill of Rights, which sets forth specific limitations on government power. Fourth, constitutional law provides mechanisms for amending the constitution, ensuring that it can adapt to changing social and political conditions. Finally, it establishes processes for judicial review, allowing courts to determine whether laws and government actions are consistent with the constitution.

Constitutional law serves as a check on government power, preventing tyranny and protecting individual liberties. By defining the boundaries of governmental authority, it ensures that the government operates within the rule of law. It also empowers citizens by guaranteeing fundamental rights and freedoms, allowing them to participate in the political process and hold the government accountable. The principles of constitutional law promote stability and predictability in the legal system. By providing a framework for governance and individual rights, it fosters a sense of order and fairness. This framework reduces uncertainty and ensures that legal disputes are resolved according to established principles. Moreover, constitutional law reflects a society’s values and aspirations. By enshrining principles such as equality, justice, and freedom, it shapes the moral and ethical foundations of the nation. It provides a common ground for citizens to unite and work towards a better future.

Key Principles of Constitutional Law

Understanding the key principles of constitutional law is essential for anyone interested in law, political science, or civic engagement. These principles provide a framework for interpreting and applying constitutional provisions and understanding the relationship between the government and its citizens. Several fundamental principles underpin constitutional law around the world. These include the separation of powers, federalism, judicial review, and the protection of individual rights.

  • Separation of Powers : This principle divides governmental power among three branches: the legislative, executive, and judicial. Each branch has distinct powers and responsibilities, preventing any one branch from becoming too powerful. The legislative branch, typically a parliament or congress, is responsible for making laws. The executive branch, headed by a president or prime minister, enforces laws. The judicial branch, composed of courts, interprets laws. This separation ensures a balance of power and prevents tyranny.

  • Federalism : In federal systems, power is divided between a central government and regional governments (states or provinces). This division of power allows for local autonomy while maintaining national unity. The central government typically has authority over matters of national concern, such as defense and foreign policy, while regional governments have authority over matters of local concern, such as education and public health. Federalism allows for diversity and experimentation in governance, while also ensuring that all citizens are subject to a common set of laws.

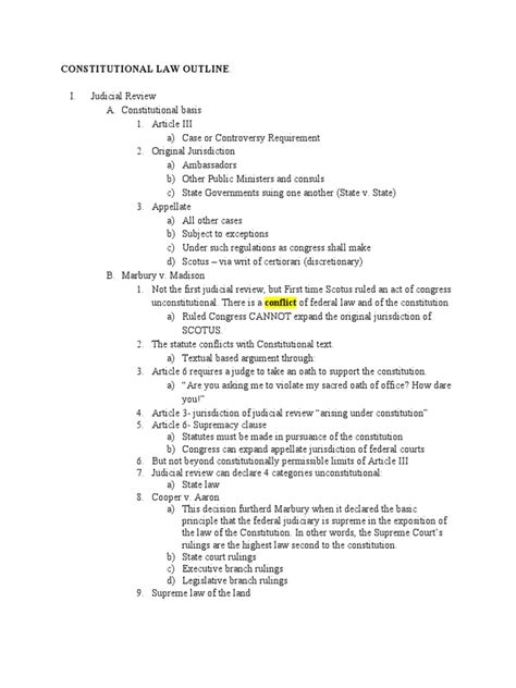
  • Judicial Review : This principle gives courts the power to review laws and government actions to determine whether they are consistent with the constitution. If a court finds that a law or action violates the constitution, it can strike it down. Judicial review is a crucial check on the power of the legislative and executive branches. It ensures that the government operates within the boundaries of the constitution and protects individual rights. Landmark cases like Marbury v. Madison in the United States established the principle of judicial review.

  • Protection of Individual Rights : Constitutions typically include a Bill of Rights that guarantees fundamental rights and freedoms to individuals. These rights may include freedom of speech, religion, assembly, and the press; the right to bear arms; protection against unreasonable searches and seizures; the right to due process of law; and the right to equal protection under the law. These rights protect individuals from governmental overreach and ensure that they are treated fairly under the law. The specific rights protected and the scope of those protections vary from country to country, reflecting different cultural and historical contexts.

Why Study Constitutional Law?

Studying constitutional law offers numerous benefits, both personally and professionally. It provides a deeper understanding of the foundations of government, the rights and responsibilities of citizens, and the role of law in society. This knowledge empowers individuals to participate more effectively in the political process and to advocate for their rights and the rights of others. Studying constitutional law enhances critical thinking skills . It requires the ability to analyze complex legal issues, evaluate arguments, and interpret constitutional provisions. These skills are valuable in many fields, including law, politics, journalism, and education.

For aspiring lawyers and legal professionals, a strong understanding of constitutional law is essential. It provides the foundation for understanding many other areas of law, such as criminal law, civil rights law, and administrative law. It also prepares students for careers in constitutional litigation, where they may argue cases before courts involving constitutional issues. Moreover, studying constitutional law can lead to a variety of career paths. Lawyers specializing in constitutional law may work for government agencies, non-profit organizations, law firms, or academic institutions. They may advise policymakers on constitutional issues, represent clients in constitutional litigation, or conduct research on constitutional law. Other career options include teaching constitutional law, working as a legislative aide, or becoming a journalist covering constitutional issues.

Beyond career benefits, studying constitutional law fosters civic engagement. It encourages individuals to become informed and active citizens who understand their rights and responsibilities. It empowers them to participate in the political process, advocate for their beliefs, and hold the government accountable. A deeper understanding of constitutional law can also promote social justice. By understanding the historical and contemporary struggles for equality and justice, individuals can become more effective advocates for positive change. They can work to ensure that the principles of constitutional law are applied fairly to all members of society. Knowledge of constitutional law is crucial for promoting democracy and the rule of law. It ensures that citizens understand the foundations of their government and the limitations on its power. It empowers them to hold their leaders accountable and to defend the principles of freedom and justice. A well-informed citizenry is essential for a healthy democracy.

Free Constitutional Law PDF Guide

Alright, guys, here’s the moment you’ve been waiting for! To help you dive even deeper into this fascinating subject, we’ve compiled a comprehensive Constitutional Law PDF guide just for you. This guide covers everything from the basics of constitutional principles to landmark cases and key concepts. This free constitutional law PDF guide is designed to be accessible and informative, whether you’re a student, a legal professional, or just someone curious about how your government works. It’s packed with essential information, case summaries, and clear explanations of complex legal concepts. You can download it, print it, and use it as a reference whenever you need it!

This guide includes chapters on the history of constitutional law, the structure of government, individual rights and liberties, and the process of judicial review. It also features case studies of landmark Supreme Court cases that have shaped constitutional law, such as Marbury v. Madison , Brown v. Board of Education , and Miranda v. Arizona . Each chapter includes review questions and exercises to help you test your understanding of the material. The guide also provides a glossary of key terms and a list of further resources for those who want to learn more.

This guide is regularly updated to reflect changes in constitutional law. It’s a valuable resource for anyone who wants to stay informed about the latest developments in this field. Whether you’re preparing for an exam, conducting research, or simply interested in learning more about constitutional law, this guide is an essential tool. We believe that everyone should have access to high-quality information about their government and their rights. That’s why we’re offering this guide for free. We hope that it will empower you to become a more informed and engaged citizen.

Conclusion

So, there you have it! Constitutional law is a complex but crucial field that shapes our societies and protects our freedoms. By understanding its principles and provisions, we can all become better citizens and advocates for justice. And don’t forget to download our free Constitutional Law PDF guide to continue your learning journey. Happy studying, and stay informed!